Educ Med Super. 2015;29(2)


ARTÍCULO ORIGINAL

 

Propuesta de actividades con un enfoque interdisciplinario que favorezca la integración de las disciplinas de Ciencias Básicas

 

Proposal of interdisciplinary focused-activities encouraging the integration of basic science disciplines

 

Dr. C. Miguel Angel González Rangel, MSc. Lourdes García Bacallao, MSc. José Emilio García González, MSc. Yelamy Travieso González, MSc. Giselle Puldón Seguí

Departamento de Ciencias Básicas. Universidad de Ciencias Médicas de la Habana, Instituto de Ciencias Básicas y Preclínicas "Victoria de Girón". La Habana, Cuba.

 

 


RESUMEN

La propuesta de actividades con un enfoque interdisciplinario forma parte de un conjunto de recomendaciones que se realizan como parte del perfeccionamiento del trabajo científico metodológico de las referidas disciplinas. Estas se han puesto en práctica en la formación de los residentes de Ciencias Básicas Biomédicas en los cursos 2012-2013 y 2013-2014. Estas actividades se orientan en clases y su concepción se realiza desde la preparación metodológica colectiva e individual que realizan los docentes de estas disciplinas, lo que garantiza su carácter interdisciplinario e integrador en el tratamiento de los contenidos. Como resultado de la puesta en práctica de las referidas actividades se constató su contribución en el cumplimiento de los objetivos de la formación del especialista y la aplicación integrada de los conocimientos, métodos y modos de actuación y la posibilidad de revelar las relaciones interdisciplinarias. Para construir el marco teórico y diseñar las actividades se utilizaron diversos métodos del nivel teórico sobre la base del método dialéctico materialista. Asimismo, para valorar su pertinencia se utilizó el método prospectivo "Conexo en dictámenes de peritos, especialistas o expertos", el cual, constituye un procedimiento lógico para sintetizar y valorar los resultados de la consulta a un grupo de especialistas, a los cuales se les presentó la propuesta. De acuerdo con los rangos definidos se pudo comprobar que existente concordancia en los criterios emitidos por los especialistas, lo cual indica que realizaron un análisis racional de la propuesta presentada, garante de la objetividad del resultado.

Palabras clave: enfoque interdisciplinario, Ciencias Básicas Biomédicas.


ABSTRACT

The proposal of activities with an interdisciplinary focus is part of a group of recommendations that you/they are carried out like part of the improvement of the methodological scientific work of those referred disciplines. The same ones have put into practice in the formation of the residents of Biomedical Basic Sciences in the Courses 2012 - 2013 and 2013 - 2014. These activities are guided in classes and their conception is carried out from the collective methodological preparation and singular that carry out the educational of these disciplines, what guarantees its interdisciplinary and integrative character in the treatment of the contents. As a result of the setting in practice of the referred activities their contribution was verified in the execution of the objectives of the specialist's formation and the integrated application of the knowledge, methods and performance ways and the possibility of revealing the interdisciplinary relationships. To build the theoretical mark and to design the activities diverse methods of the theoretical level they were used on the base of the materialistic dialectical method. Also, to value their relevancy the prospective method it was used "Related in experts' verdicts, specialists or experts"; the one which, it constitutes a logical procedure to synthesize and to value the results from the consultation to a group of specialists, to which were presented the proposal. In accordance with the defined ranges could be proven that existent agreement in the approaches emitted by the specialists, that which indicates that they carried out a rational analysis of the presented proposal, guarantor of the objectivity of the result.

Keywords: interdisciplinary focus, Biomedical Basic sciences.


 

 

INTRODUCCIÓN

La formación de especialistas en las Ciencias Biomédicas tiene que responder a las demandas que emergen a nivel internacional, y al mismo tiempo, ha de adecuarse a las realidades de esta región latinoamericana, tanto al contexto nacional como a los problemas propios de los territorios.

El acceso al conocimiento científico y a las tecnologías de punta se convierte en la llave para la transformación productiva y el logro de elevados niveles de productividad y competitividad internacional, se renueva el encargo social de la formación de profesionales en todas las áreas de la salud: hay que formar hombres y mujeres que dominen los frutos de la civilización científico-tecnológica y sean al mismo tiempo, creadores e innovadores.

Sin embargo, la necesidad de establecer relaciones entre las distintas ciencias preocupa y ocupa a todos los que forman a este tipo de especialistas, ya que "cuando el hombre aprende a ver la interconexión de la ciencia y la sociedad le es más fácil comprender y apreciar los hechos y fenómenos de la realidad. Con mayor seguridad asumen responsabilidades por todo lo que ocurre en el mundo, sin lo cual, propiamente dicho, no hay ni puede haber un auténtico científico y ciudadano".1 La importancia del establecimiento de relaciones interdisciplinarias y cómo influyen en el desarrollo cognoscitivo se evidencia cada vez más "…la interdisciplinariedad es una vía efectiva que contribuye al logro de la relación mutua del sistema de conceptos, leyes y teorías que se abordan…".2

A pesar de los logros alcanzados, desde el punto de vista curricular, no se ha conseguido establecer la interdisciplinariedad en la forma deseada. En más de una ocasión, los especialistas en el tema han planteado que no se ha logrado que las clases tengan un adecuado enfoque interdisciplinario.

Asimismo, en las últimas versiones de los talleres internacionales sobre Enseñanza de la Física y los Congresos Iberoamericano de Didáctica de las Ciencias Experimentales y la Matemática, celebrados en La Habana, se ha revelado que dentro de los problemas que requieren una mayor atención se encuentra la necesidad de encarar con urgencia la introducción en la práctica de la interdisciplinariedad en la enseñanza-aprendizaje de las ciencias, por ser esta una de las características esenciales de la actividad investigadora y del desarrollo social.

Siguiendo este mismo orden de ideas, se ha señalado que existen insuficiencias en los vínculos interdisciplinarios en la impartición del contenido, así como la poca preparación de algunos docentes para desarrollar las clases con dicho enfoque, también apunta que "el no vincular los contenidos específicos, al ser enseñados, en todos los niveles sin revelar sus relaciones con otras ciencias, puede ser una de las razones que hace más difícil su comprensión…y por tanto el poder fijarlos y aplicarlos en situaciones problemáticas".3

Además, es significativo señalar que hasta hoy no se ha prestado suficiente atención al análisis e introducción en la práctica de la interdisciplinariedad en el proceso de enseñanza-aprendizaje de las ciencias y quizás menos aún en la preparación y superación de los profesores, para que esta práctica se convierta en una guía efectiva de su modo de actuación durante este proceso.

El objetivo de este trabajo es presentar una propuesta de actividades con un enfoque interdisciplinario que favorezca la integración de las disciplinas de Ciencias Básicas y valorar su pertinencia a partir de la utilización del método prospectivo "Conexo en dictámenes de peritos, especialistas o expertos".

 

MÉTODOS

La propuesta de actividades que se presenta forma parte de un conjunto de recomendaciones que se realizan como parte del perfeccionamiento del trabajo científico metodológico del colectivo de docentes que imparten las disciplinas de Matemática, Física y Química, en la formación de residentes de Ciencias Básicas Biomédicas en los cursos 2012-2013 y 2013-2014. A partir de la utilización del método dialéctico materialista se aplicó el método de análisis-síntesis para revelar los presupuestos teórico-metodológicos que sustentan la propuesta de actividades, el método de modelación en la determinación de las relaciones interdisciplinarias y el enfoque de sistema para revelar las relaciones interdisciplinarias en la concepción de la propuesta. Por otra, el análisis del plan de estudio y los programas de las disciplinas involucradas permitió que estas actividades desde su propia concepción facilitaran el logro de los objetivos declarados y la aplicación integrada de los conocimientos, habilidades y capacidades profesionales, influyeran en el interés por el estudio de estas disciplinas y consolidaran el modo de actuación profesional; la orientación hacia la apropiación de nuevos conocimientos y fortalecieran los rasgos de la actividad científica y el empleo sistemático de los métodos de la investigación, como una vía para la adquisición de los conocimientos y autosuperación constante. La propuesta se puso a disposición de un grupo de especialistas, los cuales valoraron su pertinencia. El colectivo de autores utilizó el método prospectivo "Conexo en dictámenes de peritos, especialistas o expertos", el cual, constituye un procedimiento lógico para sintetizar y valorar los resultados de la consulta realizada.

 

RESULTADOS

El tratamiento de los contenidos con un enfoque interdisciplinar, propiciará un aprendizaje que revela la construcción de nuevos significados partiendo de los conocimientos que poseen los estudiantes; la posibilidad de aprender está, en relación directa con la cantidad y calidad de los aprendizajes anteriores y de las conexiones que se establecen entre ellos y el nuevo conocimiento.

De acuerdo con Núñez Junco,4 este tipo de aprendizaje implica:

- Selección de esquemas de conocimientos previos.
- Aplicación a la nueva situación.
- Modificación para proceder a su reestructuración lógica.
- Establecimiento de nuevas relaciones.
-Adecuación de lo nuevo conocido con lo preexistente.

Debe tenerse en cuenta que además de los requerimientos, el aprendizaje debe estar contextualizado, enmarcado en el plano social y teniendo en cuenta la zona de desarrollo potencial del estudiante siendo consecuentes con los aportes del Enfoque Histórico Cultural de Vygotsky y sus seguidores.

La interdisciplinariedad ha surgido como resultado de dos motivaciones fundamentales: una académica (epistemológica) y otra instrumental. La primera tiene como objetivo la reunificación del saber y el logro de un cuadro conceptual global, mientras que la segunda pretende investigar multilateralmente la realidad, por el propio carácter variado, multifacético y complejo de esta y la necesidad de obtener un saber rápidamente aplicable, en consonancia con la creciente relación de ciencia, tecnología y sociedad.

Los orígenes de la interdisciplinariedad datan de la antigüedad, pero no habrá referencia a ello en este contexto. Solo se apuntará que su renovado impulso a partir de la segunda mitad del pasado siglo ha traído consigo la generalización de formas cooperadas de investigación, la producción de cambios estructurales en las instituciones científicas y universitarias, así como nuevas relaciones entre ellas y la sociedad y los sectores productivos.

En el ámbito epistemológico este tema es sumamente polémico y se ha caracterizado por la ambigüedad y la confusión con otros términos. Los autores asumen que la interdisciplinariedad es una estrategia didáctica que prepara al estudiante para realizar transferencias de contenidos que les permite solucionar holísticamente los problemas que enfrentaran en su futuro desempeño profesional.

En el ámbito educativo, la interdisciplinariedad tiene dos objetivos fundamentales:

1. Que los intelectuales y profesionales del mañana sirvan para algo real en el mundo en que viven.
2. Que los individuos adquieran los hábitos de análisis y síntesis que les permitan orientarse en la realidad en que viven.

Por tanto, la interdisciplinariedad persigue contribuir a la cultura integral y a la formación de una concepción científica del mundo en los estudiantes, desarrollar en ellos un pensamiento humanista, científico y creador que les permita adaptarse a los cambios de contextos y abordar problemas de interés social.

Además, el enfoque interdisciplinario de las clases puede lograr en los estudiantes grandes motivaciones, particularmente profesionales, las cuales pueden regir la forma de actuar de este en cuanto al interés por lo que se imparte, ya que esto le sirve para la construcción de la vocación que va naciendo en él, guía todos sus esfuerzos y capacidad de abstracción, etcétera.

Se reconoce que las situaciones de aprendizaje que se proponen a los estudiantes no siempre los motivan suficientemente, ni comprometen su trabajo intelectual hasta el punto de dejar una huella tanto en el plano de sus conocimientos, como en el de sus procesos de pensamiento y modos de actuación.

A continuación se muestran algunas de las actividades que integran la propuesta de actividades; estas favorecen el tratamiento de los contenidos que se abordan en las asignatura Matemática, Física y Química con un enfoque interdisciplinario. Es importante señalar que los residentes que reciben esos contenidos en su formación como especialistas en Ciencias Básicas Biomédicas tienen características especiales, pues al comenzar en la residencia llevan muchos años que no reciben las referidas asignaturas de forma sistemática y esto dificulta su aprendizaje, por eso, las actividades sirven de base para desarrollar los contenidos posteriores y actividades propias del plan de estudio. En cada actividad se valora cómo se debe utilizar y cómo dirigir su discusión con los residentes.

Actividad # 1

La bacteria Echerichia Coli es un organismo unicelular que crece por un aumento de su longitud, al que sigue un proceso de fisión, dando lugar a dos células de igual longitud que la inicial. Si se cultiva en un medio y temperatura adecuada se necesita aproximadamente 1 h para que una célula se duplique. Teniendo esto presente y además si se inicia el cultivo con una célula de E. Coli:

a) Al cabo de 1 h, ¿cuántas células habrá? ¿Y a las 2 h? ¿Y a las 3 h? ¿Y a las 4 h?
b) ¿Cuál es la relación funcional entre el número de células y el tiempo?
c) Construye la gráfica del crecimiento del número de bacterias en función del tiempo.
d) Profundiza sobre las características de esta bacteria, y su nivel de incidencia y prevalencia.

Esta actividad puede ser utilizada por el profesor de Matemática en el tratamiento del tema de funciones exponenciales particularmente, para fijar el concepto de función exponencial y su gráfico. Además, para el desarrollo de habilidades en la obtención de las relaciones entre dos variables dadas. Asimismo, se revela la utilización de la Matemática en un contexto específico de las Ciencias Biomédicas y el carácter instrumental del contenido.

 

Actividad # 2

Debido a la difusión, cantidades apreciables de un gas cerrado aparecieron en los instantes indicados a las distancias dadas del punto de entrada (tabla 1).

 

a. Represente los datos en forma gráfica.
b. Calcule el coeficiente de proporcionalidad entre la distancia y tiempo estableciendo una relación funcional.
c. Interprete físicamente este coeficiente y represente su relación funcional.

Esta actividad es muy importante e integradora, el contenido esencial está relacionado con la mecánica. Sin embargo, aparece de forma explícita el trabajo con la Matemática y la Química.

En particular, si se representaran los datos en una gráfica, se revelaría que la gráfica tiene la forma de una función radical de índice 2, o de una parábola con eje en t.

La ecuación tendrá la forma:, donde el valor del coeficiente de k se podría determinar por lo diferentes puntos de la curva (interpolación y extrapolación de valores), a partir de un simple despeje en la relación obtenida como:. Al sustituir las coordenadas de varios puntos y calcularse obtienen: K1= 0,243 cm2/s, K2 = 0, 253 cm2/ s,K3 = 0, 225 cm2/ s, K4 = 0, 225 cm2/ s… K = 0, 238 cm2/ s

Podríamos calcular el valor promedió de K, pero si representamos ahora los cuadrados de las distancias en función del tiempo, obtenemos una gráfica de una función lineal y su pendiente será K, cuyo valor 0,25 cm2 /s es muy próxima al valor obtenido.

Se han trabajado con las formas , y , además analizando esta K se puede inferir que al cambiar el gas, investigando varios en las mismas condiciones podríamos hacer una tabla de valores.

Hasta aquí, siguiendo un método científico que involucra varias disciplinas se contribuye a la realización de las tareas más importante de estas: interpretar, representar, calcular, identificar y predecir fenómenos muy generales en un marco natural, para cualquier tipo de especialista.


Actividad # 3

Determine el PH de una disolución de HAc concentración 10 -1 mol/ L. El porcentaje de disolución iónica es 3 %.

a. Plantea la expresión de la ley de acción de masas.
b. Si a 500 mL de la disolución dada se le añade 4,1 g de NaAc. Calcule el PH de la nueva disolución preparada.

Datos Ka = 1.8 . 10-5 MM (NaAc) = 82 g / mol

En esta actividad se utilizan conocimientos propios de la Química. En particular, el trabajo con PH, muy empleado el preparar disoluciones en cualquiera de las especialidades biomédicas. Aquí se vinculan con contenidos de la Matemática. También se aplica el trabajo con la notación científica ya utilizada con frecuencia en los ejemplos de Física y contenidos relativos a logaritmos de base decimales y sus propiedades.


Actividad # 4

Determine la virulencia de una bacteria en una escala de 0 al 50 (V). Si se conoce que la ecuación: , donde t es el tiempo (en horas) transcurridas desde que comienza en estudio (t= 0).

La vía de solución es el Cálculo Diferencial. Calculando la primera derivada de V( t), se tiene y determinando los ceros de la primera derivada se obtiene t1 = 1 y t2 = 5; analizando el signo (comportamiento) de V(t) alrededor de los ceros, se tiene que en t1 = 1 la derivada pasa de positiva a negativa, entonces t1 = 1, es un máximo y en t2 = 5, la derivada pasa de negativa a positiva; t2 = 5, es un mínimo. Llevando estos resultados al contexto del problema se tiene la máxima virulencia es al cabo de 1 h y la mínima virulencia es a las 5 h.


Actividad # 5

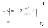
El oxígeno para reanimar a un paciente, escapa de un balón esférico de goma a razón de 2 m3/min, debido a un orificio por una incorrecta praxis.

a. Hallar la disminución de la superficie del valón en unidad de tiempo, sabiendo que el radio es 12 m.
b. ¿Cuál es el tiempo límite del que se dispone para cambiar el balón?

Este es otro ejemplo propio de mecánica de los fluidos. Para resolver el problema seguimos pasos lógicos:

Si tomamos una esfera de radio r (Fig. 1), para un tiempo t=0, su volumen , su

Estos son contenidos de Matemática de Educación Media General, pero además, la variación de su superficie y su volumen dependerá de cómo varía r en función de t, al escapar el fluido. Luego y y podemos, establecer la razón , luego la variación de la superficie en función del tiempo será y tenemos entonces . La interpretación del signo (—), significa que el oxígeno está escapando.

La expresión, representa la variación de la superficie del balón al escapar el gas. Si conocemos el volumen inicial del gas y cómo se va escapando , podemos plantear , que integrando en ambos miembros en I1 = [Vo, V] y I 2 =[to, t]

t , evaluando y calculando se tiene que t = 1152 p min.

En este ejemplo, se han utilizado herramientas del cálculo diferencial e integral propios de la Matemática y la Física, además de realizar la interpretación física del signo.


Actividad # 6

En la cinética química el cálculo diferencial e integral (ecuaciones diferenciales) es una herramienta muy útil para determinar el orden de la reacción. En particular, es importante obtener las fórmulas en cada caso.

Deducir…

Orden cero:


V= K

Intentando y multiplicando por (-1) en ambos miembros se tiene: CA = - K t + C para t= 0, se tiene que C = C0 A, luego .

 

Orden uno:

V= KCA

. Integrando y multiplicando (-1) se tiene:

ln CA = - Kt + C para t = 0, entonces C = ln C0 A, entonces

ln CA - l n C0 A = - KT , se conoce 2,3 lg x = ln x

. / x-1

. Aplicando propiedades de los logaritmos y dividiendo por t se tiene:

Orden dos (solo con respecto a un reaccionante):

V= K C2 (A)

transformando

. Integrando y multiplicando por (-1) en ambos miembros:

(Fo. 30)

Despejando K se tiene:

 

Actividad # 7

Otra de las actividades previstas, es la orientación de revisiones bibliográficas donde los residentes, investigan, fichan y exponen en colectivo los resultados de sus búsquedas relacionadas con la aplicación de la Matemática y las otras disciplinas en la solución de problemas específicos de sus especialidades. Por ejemplo:

Ellos pudieron revelar las aplicaciones de estos contenidos en el Modelo de Crecimiento Biológico.

Un problema fundamental en biología es el crecimiento, sea este el crecimiento de una célula, un órgano, un ser humano, una planta o una población. Una de las ecuaciones diferenciales más conocida y sencilla es la Ley de crecimiento exponencial:

cuya solución es (1)

La ley del crecimiento exponencial, con las debidas modificaciones, puede tener un número muy grande de aplicaciones al área de Ciencias Biomédicas.

En particular:

La ecuación diferencial (1) nos dice que el crecimiento ocurre si > 0, y por otro lado el decaimiento (o encogimiento) ocurre si < 0. Un defecto obvio de la ecuación (1) y de su solución es que si > 0 y el tiempo transcurre, el crecimiento es ilimitado. Esto es una contradicción con la realidad, puesto que, después de transcurrir un cierto tiempo, sabemos que la célula o individuo deja de crecer, y obtiene un tamaño máximo. La pregunta que surge es ¿podemos modificar (1) para que los resultados concuerden con la realidad?, la respuesta es sí, y está dada por la ecuación diferencial:

, (2)

cuya solución es:

(3)

Esta se obtiene fácilmente aplicando el método de separación de variables.

Además de (3), observemos que:

Lo cual muestra que el crecimiento dado por (3) tiene un límite, tal como lo requieren la realidad, y validando el modelo de crecimiento (2) y (3). Algunos ejemplos de aplicaciones para este modelo son: calcular el crecimiento de una bacteria interactuando con el sistema inmune, la altura media de un grupo de mujeres en pleno crecimiento o predecir la población de nuestro país para el 2020, etcétera.

También revelaron la existencia del Modelo de Problema Epidemiológico.

En particular destacaron que un problema importante de biología y medicina trata de la ocurrencia, propagación y control de una enfermedad contagiosa; esto es, una enfermedad que puede transmitirse de un individuo a otros. La inmunoepidemiología estudia este problema, y si un porcentaje grande no común de una población adquiere la enfermedad, decimos que hay una epidemia. Un modelo matemático sencillo para la propagación de una enfermedad es:

, (4)

Donde Pi es el número de individuos infectados en el tiempo t, P0 el número de individuos infectados en el tiempo t0 y P es el número total de la población. La solución a la ecuación (4) se obtiene por separación de variables, dando como solución:

(5)

Así, el modelo formado por (4) y (5) describe la propagación de una enfermedad en una población grande pero finita. El problema de epidemias donde se toma en cuenta la cuarentena es más complicado, ya que se considera un sistema de ecuaciones diferenciales ordinarias, lo cual implica aplicar teoría de álgebra lineal.

Además, expusieron un Modelo de Absorción de drogas en órganos o células.

Explicaron que un problema importante en el campo de la medicina consiste en determinar la absorción de químicos (tales como drogas) por células u órganos. Supongamos que un líquido transporta una droga dentro de un órgano de volumen V cm3 a una tasa de a cm3/seg y sale a una tasa de b cm3/seg. La concentración de la droga en el líquido que entra es c cm3/seg. La ecuación diferencial que modela tal problema es:

(6)

Cuya solución es:

(7)

Donde se presentan los siguientes casos:

Caso 1: a = b. En este caso, la tasa a la cual entra la droga es igual a la tasa a la cual sale, y (7) se convierte en:

Caso 2: a = b y x0 = 0. En este caso, las tasas de entrada y de salida son iguales, y la concentración inicial de la droga en el órgano es 0; entonces (7) resulta:

Se valoraron además, otros modelos que se usan en el estudio de enfermedades dinámicas como la leucemia y otras enfermedades que afectan a las células sanguíneas. Uno de estos modelos de producción de células sanguíneas fue desarrollado por A. Lasota en 1977 e involucra la función exponencial:

Donde A, s y r son constantes positivas y x es el número de granulocitos (un tipo de glóbulos blancos) presentes.

También se utilizan en el flujo de sangre en los vasos sanguíneos, que es más rápido cuando se dirige hacia el centro del vaso y más lento hacia el exterior. La velocidad del fluido sanguíneo V está dada por:

Donde R es el radio del vaso sanguíneo, r es la distancia que recorre la sangre desde el centro del vaso, y p, L y k son constantes físicas relacionadas con la presión.

Cuando se administra una droga o vitamina intramuscularmente, la concentración en la sangre (medida en ug/ml) t horas después de la inyección se puede aproximar por medio de la función:

, donde C , k1 y k2 son constantes positivas.

Como se explicó esta propuesta de actividades se sometió a la valoración por un grupo de especialistas y se utilizó el método prospectivo "Conexo en dictámenes de peritos, especialistas o expertos",5 el cual, constituye un procedimiento lógico para sintetizar y valorar los resultados de la consulta al referido grupo de especialistas. A los referidos especialistas se les presentó la propuesta para que la valoraran. Los resultados se presentan en la tabla 2.

Con la finalidad de realizar un análisis de carácter relativo de mayor profundidad, se determinaron los valores de la mediana de cada aspecto con la fórmula para datos agrupados, con la que se logra mayor precisión y discriminación:

 

Donde:

: es la mediana de los registros dados por los especialistas a cada aspecto.

: es el límite inferior de la clase donde se encuentra la mediana.

: es el número de peritos, especialistas o expertos.

: es la frecuencia acumulada en las clases anteriores a la mediana.

: es la frecuencia de la clase donde se encuentra la mediana.

: es el tamaño del intervalo de clase donde se encuentra la mediana.

El resultado del cálculo de las medianas se muestra en la tabla 3.

Para una mejor visualización de la síntesis del resultado de la consulta, a continuación se presenta el gráfico representativo (Fig. 9).

Las medianas de todos los aspectos consultados resultaron altas, indicativo de una aceptación general de los indicadores propuestos; sin embargo, tal como se aprecia en el gráfico, existe diferencias relativas entre los aspectos analizados. La mayor aceptación estuvo en los indicadores 1 y 5.

Para validar los resultados de la consulta a los especialistas se aplicó "Conexo en dictámenes de peritos, especialistas o expertos", por constituir una alternativa para sintetizar y valorar las consultas, más acorde con el carácter complejo, dinámico y multicausal del proceso investigado.

Para ello, se aplicó el coeficiente de correlación multidimensional:

 

De acuerdo con los rangos definidos para el coeficiente de correlación multidimensional el valor 0,71 corresponde a la existencia de concordancia en los criterios emitidos por los especialistas, lo cual indica que realizaron un análisis racional de la propuesta presentada, garante de la objetividad del resultado.

CONCLUSIONES

La propuesta de actividades que se muestra, revela cómo los contenidos esenciales de las disciplinas que se estudian en la formación de residentes en especialidades biomédicas tienen un vínculo estrecho y que indistintamente se convierten en herramientas principales para resolver problemas teóricos y prácticos de las referidas ciencias, o como situaciones que sirven para introducir nuevos contenidos, por lo que su tratamiento con un enfoque interdisciplinario se convierte en una necesidad del proceso de formación del especialista del ramo.

Su puesta en práctica durante los cursos 201-2013 y 2013-2014 reveló un cambio en el modo de dirigir el proceso de enseñanza aprendizaje de los profesores involucrados en la experiencia. Asimismo, se evidenció la transformación en los residentes, usuarios fundamentales de este trabajo.

Los resultados obtenidos en la consulta a especialistas sobre la pertinencia de la propuesta de actividades con un enfoque interdisciplinario reveló la existencia de concordancia en los criterios emitidos por los especialistas, indicando que estos realizaron un análisis racional de la propuesta lo que garantiza la objetividad del resultado.

 

REFERENCIAS BIBLIOGRÁFICAS

1. Ál Ander-Egg, Ezequier. Interdisciplinariedad en Educación. Magisterio del Río de la Plata. Argentina; 1993.

2. González MA. Propuesta de actividades con un enfoque interdisciplinario que favorezca la integración de las disciplinas en la carrera de Licenciatura en Educación Matemática Física. La Habana: VII Congreso Internacional de Didáctica de las Ciencias y el XII Taller InternacionaL sobre enseñanza de la Física; 2012.

3. Álvarez Pérez M. La interdisciplinariedad en la enseñanzaaprendizaje de las ciencias. En: Acercamiento a la interdisciplinariedad en la enseñanza de las ciencias. II Congreso Internacional Didáctica de las Ciencias. Edición Especial para II Congreso con soporte de la OREALC- UNESCO. La Habana; 2002. pp 1- 17.

4. Núñez Junco S. La interdisciplinariedad: un reto para el docente. En: Acercamiento a la interdisciplinariedad en la enseñanza de las ciencias. II Congreso Internacional Didáctica de las Ciencias. Edición Especial para II Congreso con soporte de la OREALC-UNESCO. La Habana; 2002. pp. 18- 38.

5. Pérez Jacinto O. Una alternativa para el diseño de modelos estadísticos en las Investigaciones Educativas. La Habana: Congreso Internacional Universidad 2008. AESOFT s.a.; 2008.

 

 

Recibido: 2 de abril de 2014.
Aprobado 28 de junio de 2014.

 

 

Miguel Angel González Rangel. Departamento de Ciencias Básicas de la Universidad de Ciencias Médicas de la Habana, ICBP Victoria de Girón». Calle 146 y 31. Cubanacán, Playa. La Habana, Cuba. Correo electrónico: magrvirgo@yahoo.es